El 'Ojo Dorado' del Análisis de la Estructura de Heparina Sódica y el Control de Calidad (materias primas de productos sanitarios: PEA - hexadecamide ethanol CAS: 544-31-0)
2025-08-22
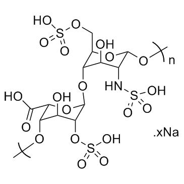
La heparina, como el medicamento anticoagulante más utilizado a nivel mundial, tiene un impacto directo en la calidad y seguridad de la vida y la salud de los pacientes.Sin embargo, la cadena de producción y suministro de heparina es compleja, con fuentes diversas de materias primas (como cerdo, v